Use Cylindrical Coordinates To Calculate . pythagorean theorem calculator circle area calculator isosceles triangle calculator triangles calculator more. in this section we will define the cylindrical coordinate system, an alternate coordinate system for the three dimensional coordinate system. By understanding cylindrical coordinates, we can better. a cylindrical coordinates calculator converts cartesian coordinates to a unit of its equivalent value in cylindrical coordinates and vice versa. Cylindrical coordinates are introduced as follows. use rectangular, cylindrical, and spherical coordinates to set up triple integrals for finding the volume of the region. cylindrical coordinates can be used to describe vector fields and cylindrical surfaces and graphs.
from www.chegg.com
use rectangular, cylindrical, and spherical coordinates to set up triple integrals for finding the volume of the region. cylindrical coordinates can be used to describe vector fields and cylindrical surfaces and graphs. pythagorean theorem calculator circle area calculator isosceles triangle calculator triangles calculator more. By understanding cylindrical coordinates, we can better. Cylindrical coordinates are introduced as follows. a cylindrical coordinates calculator converts cartesian coordinates to a unit of its equivalent value in cylindrical coordinates and vice versa. in this section we will define the cylindrical coordinate system, an alternate coordinate system for the three dimensional coordinate system.
Solved Integration in cylindrical coordinates Calculate the
Use Cylindrical Coordinates To Calculate in this section we will define the cylindrical coordinate system, an alternate coordinate system for the three dimensional coordinate system. pythagorean theorem calculator circle area calculator isosceles triangle calculator triangles calculator more. By understanding cylindrical coordinates, we can better. Cylindrical coordinates are introduced as follows. use rectangular, cylindrical, and spherical coordinates to set up triple integrals for finding the volume of the region. in this section we will define the cylindrical coordinate system, an alternate coordinate system for the three dimensional coordinate system. a cylindrical coordinates calculator converts cartesian coordinates to a unit of its equivalent value in cylindrical coordinates and vice versa. cylindrical coordinates can be used to describe vector fields and cylindrical surfaces and graphs.
From www.youtube.com
Cylindrical Coordinates Volume of a Cylinder YouTube Use Cylindrical Coordinates To Calculate By understanding cylindrical coordinates, we can better. in this section we will define the cylindrical coordinate system, an alternate coordinate system for the three dimensional coordinate system. cylindrical coordinates can be used to describe vector fields and cylindrical surfaces and graphs. pythagorean theorem calculator circle area calculator isosceles triangle calculator triangles calculator more. a cylindrical coordinates. Use Cylindrical Coordinates To Calculate.
From www.chegg.com
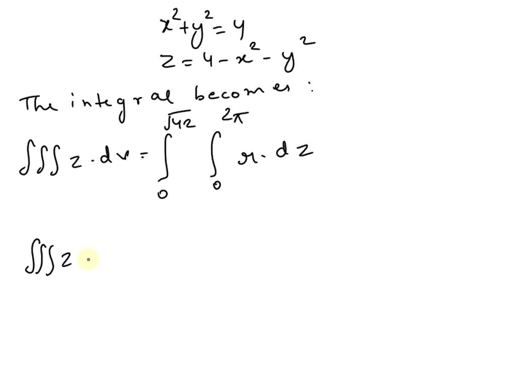
Solved Use cylindrical coordinates to calculate Integral Use Cylindrical Coordinates To Calculate in this section we will define the cylindrical coordinate system, an alternate coordinate system for the three dimensional coordinate system. cylindrical coordinates can be used to describe vector fields and cylindrical surfaces and graphs. use rectangular, cylindrical, and spherical coordinates to set up triple integrals for finding the volume of the region. By understanding cylindrical coordinates, we. Use Cylindrical Coordinates To Calculate.
From www.coursehero.com
[Solved] Using cylindrical coordinates calculate the integral. Please Use Cylindrical Coordinates To Calculate cylindrical coordinates can be used to describe vector fields and cylindrical surfaces and graphs. use rectangular, cylindrical, and spherical coordinates to set up triple integrals for finding the volume of the region. in this section we will define the cylindrical coordinate system, an alternate coordinate system for the three dimensional coordinate system. a cylindrical coordinates calculator. Use Cylindrical Coordinates To Calculate.
From cakculatirhgw.blogspot.com
Graph Cylindrical Coordinates Calculator CALCULATOR HGW Use Cylindrical Coordinates To Calculate cylindrical coordinates can be used to describe vector fields and cylindrical surfaces and graphs. in this section we will define the cylindrical coordinate system, an alternate coordinate system for the three dimensional coordinate system. pythagorean theorem calculator circle area calculator isosceles triangle calculator triangles calculator more. use rectangular, cylindrical, and spherical coordinates to set up triple. Use Cylindrical Coordinates To Calculate.
From www.chegg.com
Solved Use cylindrical coordinates to calculate SI DHE f(x, Use Cylindrical Coordinates To Calculate cylindrical coordinates can be used to describe vector fields and cylindrical surfaces and graphs. use rectangular, cylindrical, and spherical coordinates to set up triple integrals for finding the volume of the region. By understanding cylindrical coordinates, we can better. in this section we will define the cylindrical coordinate system, an alternate coordinate system for the three dimensional. Use Cylindrical Coordinates To Calculate.
From www.numerade.com
SOLVED Use cylindrical coordinates to calculate the triple integral of Use Cylindrical Coordinates To Calculate a cylindrical coordinates calculator converts cartesian coordinates to a unit of its equivalent value in cylindrical coordinates and vice versa. Cylindrical coordinates are introduced as follows. By understanding cylindrical coordinates, we can better. cylindrical coordinates can be used to describe vector fields and cylindrical surfaces and graphs. pythagorean theorem calculator circle area calculator isosceles triangle calculator triangles. Use Cylindrical Coordinates To Calculate.
From www.chegg.com
Solved Use cylindrical coordinates to calculate the triple Use Cylindrical Coordinates To Calculate Cylindrical coordinates are introduced as follows. pythagorean theorem calculator circle area calculator isosceles triangle calculator triangles calculator more. in this section we will define the cylindrical coordinate system, an alternate coordinate system for the three dimensional coordinate system. By understanding cylindrical coordinates, we can better. use rectangular, cylindrical, and spherical coordinates to set up triple integrals for. Use Cylindrical Coordinates To Calculate.
From www.chegg.com
Solved (1 point) Use cylindrical coordinates to calculate Use Cylindrical Coordinates To Calculate pythagorean theorem calculator circle area calculator isosceles triangle calculator triangles calculator more. By understanding cylindrical coordinates, we can better. Cylindrical coordinates are introduced as follows. use rectangular, cylindrical, and spherical coordinates to set up triple integrals for finding the volume of the region. cylindrical coordinates can be used to describe vector fields and cylindrical surfaces and graphs.. Use Cylindrical Coordinates To Calculate.
From www.coursehero.com
[Solved] Use the cylindrical coordinates to find the volume of the Use Cylindrical Coordinates To Calculate a cylindrical coordinates calculator converts cartesian coordinates to a unit of its equivalent value in cylindrical coordinates and vice versa. cylindrical coordinates can be used to describe vector fields and cylindrical surfaces and graphs. use rectangular, cylindrical, and spherical coordinates to set up triple integrals for finding the volume of the region. pythagorean theorem calculator circle. Use Cylindrical Coordinates To Calculate.
From www.chegg.com
Solved (1 pt) Use cylindrical coordinates to calculate Use Cylindrical Coordinates To Calculate pythagorean theorem calculator circle area calculator isosceles triangle calculator triangles calculator more. use rectangular, cylindrical, and spherical coordinates to set up triple integrals for finding the volume of the region. By understanding cylindrical coordinates, we can better. cylindrical coordinates can be used to describe vector fields and cylindrical surfaces and graphs. in this section we will. Use Cylindrical Coordinates To Calculate.
From www.storyofmathematics.com
Cylindrical Coordinates Integral Calculator + Online Solver With Free Steps Use Cylindrical Coordinates To Calculate pythagorean theorem calculator circle area calculator isosceles triangle calculator triangles calculator more. Cylindrical coordinates are introduced as follows. By understanding cylindrical coordinates, we can better. use rectangular, cylindrical, and spherical coordinates to set up triple integrals for finding the volume of the region. in this section we will define the cylindrical coordinate system, an alternate coordinate system. Use Cylindrical Coordinates To Calculate.
From www.chegg.com
Solved Use cylindrical coordinates to calculate integral Use Cylindrical Coordinates To Calculate in this section we will define the cylindrical coordinate system, an alternate coordinate system for the three dimensional coordinate system. cylindrical coordinates can be used to describe vector fields and cylindrical surfaces and graphs. Cylindrical coordinates are introduced as follows. By understanding cylindrical coordinates, we can better. use rectangular, cylindrical, and spherical coordinates to set up triple. Use Cylindrical Coordinates To Calculate.
From www.chegg.com
Solved 1 L Use cylindrical coordinates to calculate f(x, y, Use Cylindrical Coordinates To Calculate use rectangular, cylindrical, and spherical coordinates to set up triple integrals for finding the volume of the region. cylindrical coordinates can be used to describe vector fields and cylindrical surfaces and graphs. pythagorean theorem calculator circle area calculator isosceles triangle calculator triangles calculator more. a cylindrical coordinates calculator converts cartesian coordinates to a unit of its. Use Cylindrical Coordinates To Calculate.
From www.cuemath.com
Cylindrical Coordinates Definition, Conversions, Examples Use Cylindrical Coordinates To Calculate Cylindrical coordinates are introduced as follows. By understanding cylindrical coordinates, we can better. a cylindrical coordinates calculator converts cartesian coordinates to a unit of its equivalent value in cylindrical coordinates and vice versa. cylindrical coordinates can be used to describe vector fields and cylindrical surfaces and graphs. use rectangular, cylindrical, and spherical coordinates to set up triple. Use Cylindrical Coordinates To Calculate.
From www.coursehero.com
[Solved] Use cylindrical coordinates to calculate ∫∫∫ w f(x,y,z)dV for Use Cylindrical Coordinates To Calculate use rectangular, cylindrical, and spherical coordinates to set up triple integrals for finding the volume of the region. cylindrical coordinates can be used to describe vector fields and cylindrical surfaces and graphs. a cylindrical coordinates calculator converts cartesian coordinates to a unit of its equivalent value in cylindrical coordinates and vice versa. By understanding cylindrical coordinates, we. Use Cylindrical Coordinates To Calculate.
From www.youtube.com
Triple Integrals Using Cylindrical Coordinates YouTube Use Cylindrical Coordinates To Calculate By understanding cylindrical coordinates, we can better. in this section we will define the cylindrical coordinate system, an alternate coordinate system for the three dimensional coordinate system. use rectangular, cylindrical, and spherical coordinates to set up triple integrals for finding the volume of the region. a cylindrical coordinates calculator converts cartesian coordinates to a unit of its. Use Cylindrical Coordinates To Calculate.
From www.numerade.com
SOLVED Use cylindrical coordinates to calculate TIL 22 + y dV W 22 +y2 Use Cylindrical Coordinates To Calculate in this section we will define the cylindrical coordinate system, an alternate coordinate system for the three dimensional coordinate system. cylindrical coordinates can be used to describe vector fields and cylindrical surfaces and graphs. By understanding cylindrical coordinates, we can better. pythagorean theorem calculator circle area calculator isosceles triangle calculator triangles calculator more. Cylindrical coordinates are introduced. Use Cylindrical Coordinates To Calculate.
From owlcation.com
Cylindrical Coordinates Rectangular to Cylindrical Coordinates Use Cylindrical Coordinates To Calculate By understanding cylindrical coordinates, we can better. cylindrical coordinates can be used to describe vector fields and cylindrical surfaces and graphs. in this section we will define the cylindrical coordinate system, an alternate coordinate system for the three dimensional coordinate system. Cylindrical coordinates are introduced as follows. pythagorean theorem calculator circle area calculator isosceles triangle calculator triangles. Use Cylindrical Coordinates To Calculate.